雑音等価電力(NEP)は、光検出器の感度を定量化するための標準的な指標です。
この投稿では、光ショットノイズを用いてNEPを測定する方法を紹介します。
雑音等価電力(NEP)
フォトニックシステムでは、光信号は光検出器を用いて電気信号に変換されます。
光検出器のノイズにはいくつかの原因があります。
- フォトダイオードの暗電流によるショットキーノイズ
- 熱雑音
- アンプの電圧・電流ノイズ
ノイズは、検出器の両側で、出力における電圧ノイズ密度vn(単位:V/√Hz)または入力におけるノイズ等価電力 (NEP)(単位:W/√Hz)として等価的に与えることができます。両者は次のような関係にあります。
ここで、Gは検出器の利得(V / W)です。
NEPは、信号対雑音比(SNR)1を得るために必要な入射光パワーを定義しています。
例えば、NEP=1 pW/√Hzの検出器でΔf=10kHzの帯域幅の信号を検出する場合、SNRを1とするために必要な光パワーはNEP×(Δf)1/2 100 pWとなります。
通常、NEPはGとvnを測定することで得られます。
ここでは、光ショットノイズの統計的性質を利用して、NEPを求める方法を示します。
測定設定
測定には以下の設定を使用します。
Koheron DRV200 ドライバは、DFB LDを制御しています。レーザーの出力が2 mWになるように電流が設定されています。
Koheron PD01 光検出器に入射する光量を可変光アッテネータ (VOA) で制御しています。
光検出器に入射する光パワーはパワーメーターで測定します。
光検出器の出力は、Koheron ALPHA250アクイジションボードの入力に接続されています。
Koheron ALPHA250アクイジションボード上では、adc-dac-dma計測器が動作しています。
この装置では、最大800万サンプルのデータバッファを取得することができ、30 Hzから125 MHzまでのパワースペクトルを得ることができます。
シンプルなPythonスクリプトでフルバッファを取得し、そのフーリエ変換を実行します。
データ解析
取得した生のパワースペクトル密度を示します。
予想通り、ノイズは入射光パワーとともに増加します。
これはホワイトノイズに起因する1/fノイズ、そしてKoheron PD01 光検出器の400kHz帯域幅に起因するロールオフを示しています。
1/fノイズは、DFB LDの相対強度ノイズ(RIN)に対応し、その寄与は光パワーに比例して増加します。
高周波数では、レーザーはショットノイズに制限されているようです。
このことは、200 kHzにおけるパワースペクトル密度を入射光パワーに対してプロットすることで確認することができます。
青い点は実測データ、緑の線は分散の2次関数フィットです。
オフセットは光検出器のノイズフロア(Noise Equivalent Powerに変換したい部分)です。
線形項は光学ショットノイズ、2次項はレーザーRINです。
40.5 µWの入射パワーでは、RINは200 kHzでノイズの約13%に寄与しています。
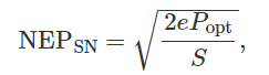
光ショットノイズの等価パワーは、
ここで、eは素電荷、Sはフォトダイオードの感度(A / W)です。
受光素子の応答が線形であると仮定すると、次のようになります。
したがって、
PSD0を青い曲線とした最初の生データに戻り、フィットから得られたAの値とフォトダイオードの感度 S = 0.9 A/Wを使用すると、光検出器の雑音等価電力が得られます。

