レーザダイオードは非常に高効率なデバイスであり、注入された電子のほぼ1個に対して光子が放出さます。
その結果、発光は駆動電流源の挙動に近いものとなります。
高品質な発光を得るためには、低ノイズの電流ドライバが必要です。
しかし、「低ノイズ」とはどういう意味なのでしょうか。
パワースペクトル密度
エレクトロニクス分野でよく使われる標準的な定義は、10 Hzから100 kHzの帯域幅におけるピーク-ピーク振幅です。
この定義では、製品間で比較できる単一の値を得ることができますが、積分値であるため、ノイズが周波数間でどのように分布しているかについての情報は得られません。
ノイズの正確な知識を得るために、パワースペクトル密度が使用されます。
周波数 fにおけるパワースペクトル密度 S (f) は、f を中心とした幅1Hzのバンドパスフィルタを通過するパワーと定義され、Sの単位はW/Hzである。
例えば、温度Tの抵抗器の熱雑音に関連するパワースペクトル密度は、S = 4 kBT(kBはボルツマン定数)です。
抵抗器の値には依存しないことに注意が必要です。
また、周波数fにも依存しないので、熱雑音は白色雑音です。抵抗Rの散逸電力はP = RI2 なので、抵抗電流雑音密度は、
であり、単位はA/√Hzです。温度300 Kの1 kΩ抵抗の場合、電流ノイズ密度は4 pA/√Hzとなります。
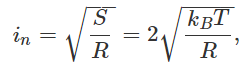
10 Hz~100 kHzの帯域幅における関連する実効ノイズは、以下の通りです。
1 kΩの抵抗の場合、1.3 nArmsになります。
電流ノイズ密度の測定
今回は、低ノイズレーザダイオードドライバであるKoheron DRV100を使用し、その電流ノイズ密度を測定するセットアップを行います。
低ノイズ電流ドライバの場合、電流変動は平均電流の10万分の1以下になることがあります。
ここでは、そのような微小なリップルの観測に特化した装置の概要を紹介します。
Koheron DRV100から供給された電流は、高品質の精密抵抗 Rs を通して電圧に変換され、
2つのコンデンサで交流結合された後、利得Gの計装用アンプで増幅されます。
3 dBの帯域通過特性は2.8 Hzから1.3 MHzです。増幅器の利得は145.4 kV/Aです。
増幅器出力の信号は、アナログ・デジタル変換器を用いて取得されます。デジタル化された信号は、FPGA上でダウンサンプリングされます。
[1] に従って、取得した時系列からパワースペクトル密度を計算することができます。
時系列のポイント数をN、時系列のサンプル数を xk として(ADCキャリブレーションからボルト単位に変換)。
離散フーリエ変換は、
ここで、wk は選択された窓です。パワースペクトル密度は、
ここで、fs はサンプリング周波数、
です。パワースペクトル密度の平方根をとり、アンプの利得でスケーリングすると、電流ノイズ密度 (A/√Hz) が得られます。
測定結果
Koheron DRV100とThorlabs® LDC 202 Cドライバの2つの電流ドライバについて、10 Hzから1 MHzまでの電流ノイズ密度を測定しました。
センシングアンプのノイズフロアも描かれており、それは60 pA/√Hzに達しています。
測定したスペクトル密度を積分することで、周波数帯域幅に対する実効ノイズ振幅を得ることができます。

